본문 바로가기
📋3-2/📌정보보안

[정보 보안] 정보 보안 개론 10장 연습문제

by 빛나고요 2021. 12. 10.
BIG

1. IoT 보안에 있어서 초기 설치 단계와 고장 수리 후 재설치 단계에서 보안 프로토콜들에 기본으로 설정되는 파라미터 값이 가장 안전한 설정이 될 수 있도록 설계되어야 한다는 원칙은?

① Secure by Default

② Security by Design

③ Privacy by Design

④ Privacy by Default

 

2. 다음 중 뇌 신경 네트워크의 재현을 목표로 하는 AI 접근법은?

① 기호주의

② 연결주의

③ 이산주의

④ 논리주의



①: 인간의 지능과 지식을 기호화해 매뉴얼화하는 접근법

 

3. (     )은 인공 신경망(딥 러닝)의 기본이 되는 알고리즘으로 월터 피츠와 워랜 맥컬럭의 뇌 모델과 1949년에 발표된 도널드 헵(Donald Hebb)의 <헵의 학습 이론>에 힌트를 얻어 가중치를 추가한 업그레이드 버전이었다.

퍼셉트론

 

4. 다음 중 비지도 학습에 속하는 두 가지는?

① 분류(Classification)

② 회귀(Regression)

③ 클러스터링(Clustering)

④ 차원 축소(Dimension Reduction)

③, ④

③클러스터링(Clustering): = 군집

 

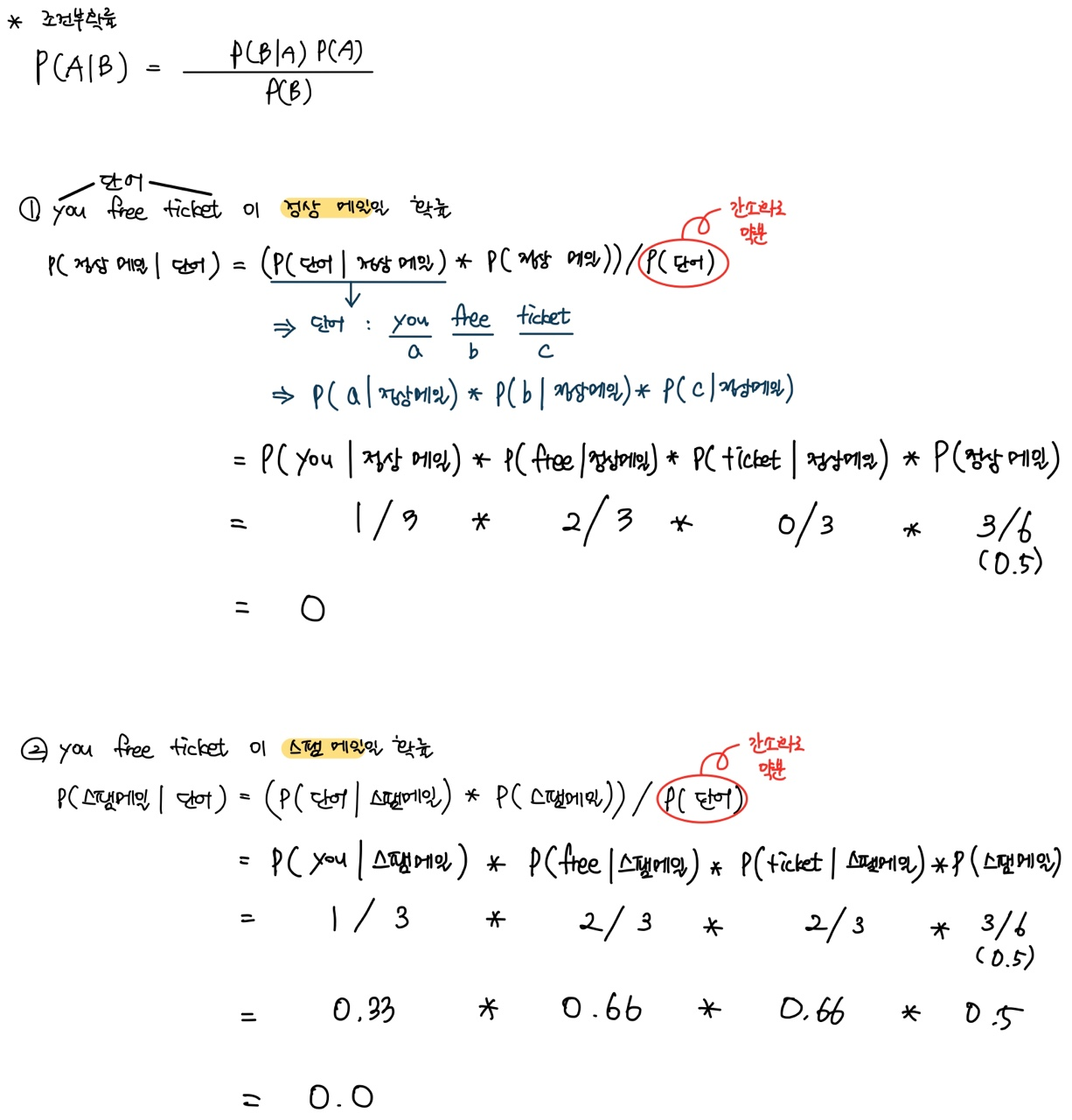
5. 다음 학습 데이터와 나이브 베이즈 분류기를 활용하여, “you free ticket”이 정상 메일일 확률과 스팸 메일일 확률을 각각 구하시오.

구분 단어 분류
1 chance free lottery 스팸 메일
2 get free ticket 스팸 메일
3 get free scholarship 정상 메일
4 Free to contact me 정상 메일
5 You won award 정상 메일
6 You ticket lottery 스팸 메일
정상일 확률: 0
스팸일 확률: 0.07

[풀이]

 

6. 실제로는 공격이 아닌데 공격이라고 탐지하는 것은?

① 거짓 양성(False Positive) Type 1 에러

② 거짓 음성(False Negative) Type 2 에러

③ 거짓 음성(False Negative) Type 1 에러

④ 거짓 양성(False Positive) Type 2 에러

 

7. 수많은 쿼리를 한 후 , 산출된 결과를 분석해 인공지능에서 사용된 데이터를 추출하는 공격은?

① 회피 공격(Evasion Attack)

② 중독 공격(Poisoning Attack)

③ 전도 공격(Inversion Attack)

④ 재전송 공격(Replay Attack)



① 회피 공격(Evasion Attack): 학습 과정에서 데이터에 무작위로 오류가 존재하는 노이즈를 고의적으로 추가하여 인공지능이 잘못된 판단을 하도록 유도하는 공격
② 중독 공격(Poisoning Attack): 악의적인 데이터를 이용해 인공지능 시스템이 오작동을 일으키도록 하는 공격

댓글